Vascular Network Optimization

Efficient Blood Supply Through Optimal Branching Patterns

Introduction

The cardiovascular system is a marvel of biological engineering, efficiently delivering blood to every cell in our body through an intricate network of vessels. But have you ever wondered how nature optimized this network? Today, we’ll explore vascular network optimization using Python, examining how blood vessels branch to minimize energy costs while maximizing delivery efficiency.

The Mathematical Foundation

Vascular networks follow principles similar to those found in river deltas, lightning patterns, and tree structures. The key optimization principle is Murray’s Law, which describes the optimal relationship between parent and daughter vessel radii:

$$r_0^n = r_1^n + r_2^n$$

Where:

  • $r_0$ is the radius of the parent vessel
  • $r_1, r_2$ are the radii of the daughter vessels
  • $n \approx 3$ for biological systems (Murray’s cube law)

The total energy cost function we want to minimize is:

$$E_{total} = E_{metabolic} + E_{pumping}$$

Where:

  • $E_{metabolic} \propto \sum_{i} r_i^2 L_i$ (proportional to vessel volume)
  • $E_{pumping} \propto \sum_{i} \frac{L_i}{r_i^4}$ (from Poiseuille’s law)

Let’s implement this optimization problem in Python!

1
2
3
4
5
6
7
8
9
10
11
12
13
14
15
16
17
18
19
20
21
22
23
24
25
26
27
28
29
30
31
32
33
34
35
36
37
38
39
40
41
42
43
44
45
46
47
48
49
50
51
52
53
54
55
56
57
58
59
60
61
62
63
64
65
66
67
68
69
70
71
72
73
74
75
76
77
78
79
80
81
82
83
84
85
86
87
88
89
90
91
92
93
94
95
96
97
98
99
100
101
102
103
104
105
106
107
108
109
110
111
112
113
114
115
116
117
118
119
120
121
122
123
124
125
126
127
128
129
130
131
132
133
134
135
136
137
138
139
140
141
142
143
144
145
146
147
148
149
150
151
152
153
154
155
156
157
158
159
160
161
162
163
164
165
166
167
168
169
170
171
172
173
174
175
176
177
178
179
180
181
182
183
184
185
186
187
188
189
190
191
192
193
194
195
196
197
198
199
200
201
202
203
204
205
206
207
208
209
210
211
212
213
214
215
216
217
218
219
220
221
222
223
224
225
226
227
228
229
230
231
232
233
234
235
236
237
238
239
240
241
242
243
244
245
246
247
248
249
250
251
252
253
254
255
256
257
258
259
260
261
262
263
264
265
266
267
268
269
270
271
272
273
274
275
276
277
278
279
280
281
282
283
284
285
286
287
288
289
290
291
292
293
294
295
296
297
298
299
300
301
302
303
304
305
306
307
308
309
310
311
312
313
314
315
316
317
318
319
320
321
322
323
324
325
326
327
328
329
330
331
332
333
334
335
336
337
338
339
340
341
342
343
344
345
346
347
348
349
350
351
352
353
354
355
356
357
358
359
360
361
362
363
364
import numpy as np
import matplotlib.pyplot as plt
from scipy.optimize import minimize, differential_evolution
import networkx as nx
from matplotlib.patches import Circle
import seaborn as sns

plt.style.use('seaborn-v0_8')
sns.set_palette("husl")

class VascularNetwork:
"""
A class to model and optimize vascular networks based on Murray's Law
and energy minimization principles.
"""

def __init__(self, alpha=1.0, beta=1.0, murray_exponent=3.0):
"""
Initialize the vascular network optimizer.

Parameters:
- alpha: weight for metabolic cost (proportional to vessel volume)
- beta: weight for pumping cost (inversely related to resistance)
- murray_exponent: exponent in Murray's law (typically 3.0)
"""
self.alpha = alpha
self.beta = beta
self.n = murray_exponent
self.vessels = []

def add_vessel(self, start_point, end_point, radius, flow_rate=1.0):
"""Add a vessel segment to the network."""
length = np.linalg.norm(np.array(end_point) - np.array(start_point))
vessel = {
'start': start_point,
'end': end_point,
'radius': radius,
'length': length,
'flow_rate': flow_rate
}
self.vessels.append(vessel)

def metabolic_cost(self, vessel):
"""Calculate metabolic cost proportional to vessel volume."""
return self.alpha * vessel['radius']**2 * vessel['length']

def pumping_cost(self, vessel):
"""Calculate pumping cost based on Poiseuille's law."""
# Poiseuille's law: resistance ∝ L/r^4
return self.beta * vessel['flow_rate'] * vessel['length'] / vessel['radius']**4

def total_energy_cost(self):
"""Calculate total energy cost of the network."""
total_cost = 0
for vessel in self.vessels:
total_cost += self.metabolic_cost(vessel) + self.pumping_cost(vessel)
return total_cost

def murray_law_violation(self, parent_radius, daughter_radii):
"""Calculate violation of Murray's law."""
expected = sum(r**self.n for r in daughter_radii)
actual = parent_radius**self.n
return abs(actual - expected) / actual

def optimize_bifurcation(parent_radius, total_flow, alpha=1.0, beta=1.0, n=3.0):
"""
Optimize a single bifurcation according to Murray's law and energy minimization.

Parameters:
- parent_radius: radius of parent vessel
- total_flow: total flow rate
- alpha, beta: energy cost weights
- n: Murray's exponent

Returns:
- Optimal daughter vessel radii and flow distribution
"""

def objective(x):
"""Objective function to minimize total energy cost."""
r1, r2, flow_ratio = x

# Ensure positive values
if r1 <= 0 or r2 <= 0 or flow_ratio <= 0 or flow_ratio >= 1:
return 1e10

# Flow distribution
flow1 = flow_ratio * total_flow
flow2 = (1 - flow_ratio) * total_flow

# Energy costs (assuming unit length for simplicity)
metabolic_cost = alpha * (r1**2 + r2**2)
pumping_cost = beta * (flow1/r1**4 + flow2/r2**4)

# Murray's law constraint penalty
murray_violation = abs(parent_radius**n - (r1**n + r2**n))
penalty = 1000 * murray_violation

return metabolic_cost + pumping_cost + penalty

# Initial guess based on Murray's law
r_guess = parent_radius / (2**(1/n))
x0 = [r_guess, r_guess, 0.5]

# Bounds: radii must be positive and less than parent, flow ratio between 0 and 1
bounds = [(0.01, parent_radius*0.99), (0.01, parent_radius*0.99), (0.01, 0.99)]

result = minimize(objective, x0, bounds=bounds, method='L-BFGS-B')

return result.x

def create_fractal_network(generations=4, base_radius=1.0, base_flow=1.0):
"""
Create a fractal vascular network using recursive bifurcations.
"""
network = VascularNetwork()

def recursive_branch(start_point, direction, radius, flow, generation, length=1.0):
if generation <= 0:
return

# Calculate end point
end_point = (start_point[0] + direction[0] * length,
start_point[1] + direction[1] * length)

# Add vessel segment
network.add_vessel(start_point, end_point, radius, flow)

if generation > 1:
# Optimize bifurcation
r1, r2, flow_ratio = optimize_bifurcation(radius, flow)

# Calculate branching angles (typical: 30-60 degrees)
angle1 = np.pi/6 # 30 degrees
angle2 = -np.pi/6 # -30 degrees

# Rotate direction vectors
cos1, sin1 = np.cos(angle1), np.sin(angle1)
cos2, sin2 = np.cos(angle2), np.sin(angle2)

dir1 = (direction[0]*cos1 - direction[1]*sin1,
direction[0]*sin1 + direction[1]*cos1)
dir2 = (direction[0]*cos2 - direction[1]*sin2,
direction[0]*sin2 + direction[1]*cos2)

# Recursive branching
recursive_branch(end_point, dir1, r1, flow*flow_ratio,
generation-1, length*0.8)
recursive_branch(end_point, dir2, r2, flow*(1-flow_ratio),
generation-1, length*0.8)

# Start the recursive branching
recursive_branch((0, 0), (0, 1), base_radius, base_flow, generations)

return network

def analyze_murray_law():
"""Analyze Murray's law for different scenarios."""

# Test different parent radii and flow rates
parent_radii = np.linspace(0.5, 2.0, 20)
results = []

for parent_r in parent_radii:
r1, r2, flow_ratio = optimize_bifurcation(parent_r, 1.0)

# Calculate Murray's law compliance
murray_left = parent_r**3
murray_right = r1**3 + r2**3
compliance = murray_right / murray_left

results.append({
'parent_radius': parent_r,
'daughter1_radius': r1,
'daughter2_radius': r2,
'flow_ratio': flow_ratio,
'murray_compliance': compliance,
'radius_ratio': r1/parent_r,
'total_daughter_volume': np.pi * (r1**2 + r2**2),
'parent_volume': np.pi * parent_r**2
})

return results

def plot_network_visualization(network):
"""Create a comprehensive visualization of the vascular network."""

fig, ((ax1, ax2), (ax3, ax4)) = plt.subplots(2, 2, figsize=(15, 12))
fig.suptitle('Vascular Network Analysis', fontsize=16, fontweight='bold')

# Plot 1: Network Structure
ax1.set_title('Network Structure', fontweight='bold')
for vessel in network.vessels:
x_coords = [vessel['start'][0], vessel['end'][0]]
y_coords = [vessel['start'][1], vessel['end'][1]]

# Line width proportional to radius
linewidth = vessel['radius'] * 5
ax1.plot(x_coords, y_coords, 'b-', linewidth=linewidth, alpha=0.7)

# Add flow direction arrows
mid_x = (vessel['start'][0] + vessel['end'][0]) / 2
mid_y = (vessel['start'][1] + vessel['end'][1]) / 2
dx = vessel['end'][0] - vessel['start'][0]
dy = vessel['end'][1] - vessel['start'][1]
length = np.sqrt(dx**2 + dy**2)
ax1.arrow(mid_x, mid_y, dx/length*0.1, dy/length*0.1,
head_width=0.05, head_length=0.05, fc='red', ec='red')

ax1.set_xlabel('X Position')
ax1.set_ylabel('Y Position')
ax1.grid(True, alpha=0.3)
ax1.set_aspect('equal')

# Plot 2: Radius Distribution
ax2.set_title('Vessel Radius Distribution', fontweight='bold')
radii = [vessel['radius'] for vessel in network.vessels]
ax2.hist(radii, bins=20, alpha=0.7, color='skyblue', edgecolor='black')
ax2.set_xlabel('Vessel Radius')
ax2.set_ylabel('Frequency')
ax2.grid(True, alpha=0.3)

# Plot 3: Energy Cost Analysis
ax3.set_title('Energy Cost Components', fontweight='bold')
metabolic_costs = [network.metabolic_cost(vessel) for vessel in network.vessels]
pumping_costs = [network.pumping_cost(vessel) for vessel in network.vessels]

vessel_indices = range(len(network.vessels))
width = 0.35
ax3.bar([i - width/2 for i in vessel_indices], metabolic_costs,
width, label='Metabolic Cost', alpha=0.7)
ax3.bar([i + width/2 for i in vessel_indices], pumping_costs,
width, label='Pumping Cost', alpha=0.7)

ax3.set_xlabel('Vessel Index')
ax3.set_ylabel('Energy Cost')
ax3.legend()
ax3.grid(True, alpha=0.3)

# Plot 4: Murray's Law Compliance
ax4.set_title("Murray's Law Compliance Analysis", fontweight='bold')

# Find bifurcation points and analyze compliance
compliance_data = []
for i, vessel in enumerate(network.vessels[:-2]): # Exclude terminal vessels
# Check if this vessel has children (simplified check)
parent_r = vessel['radius']

# For demonstration, assume next two vessels are daughters
if i + 2 < len(network.vessels):
r1 = network.vessels[i+1]['radius']
r2 = network.vessels[i+2]['radius']

murray_expected = parent_r**3
murray_actual = r1**3 + r2**3
compliance = murray_actual / murray_expected if murray_expected > 0 else 0
compliance_data.append(compliance)

if compliance_data:
ax4.plot(compliance_data, 'o-', linewidth=2, markersize=8)
ax4.axhline(y=1.0, color='red', linestyle='--',
label="Perfect Murray's Law Compliance")
ax4.set_xlabel('Bifurcation Index')
ax4.set_ylabel('Compliance Ratio')
ax4.legend()
ax4.grid(True, alpha=0.3)

plt.tight_layout()
plt.show()

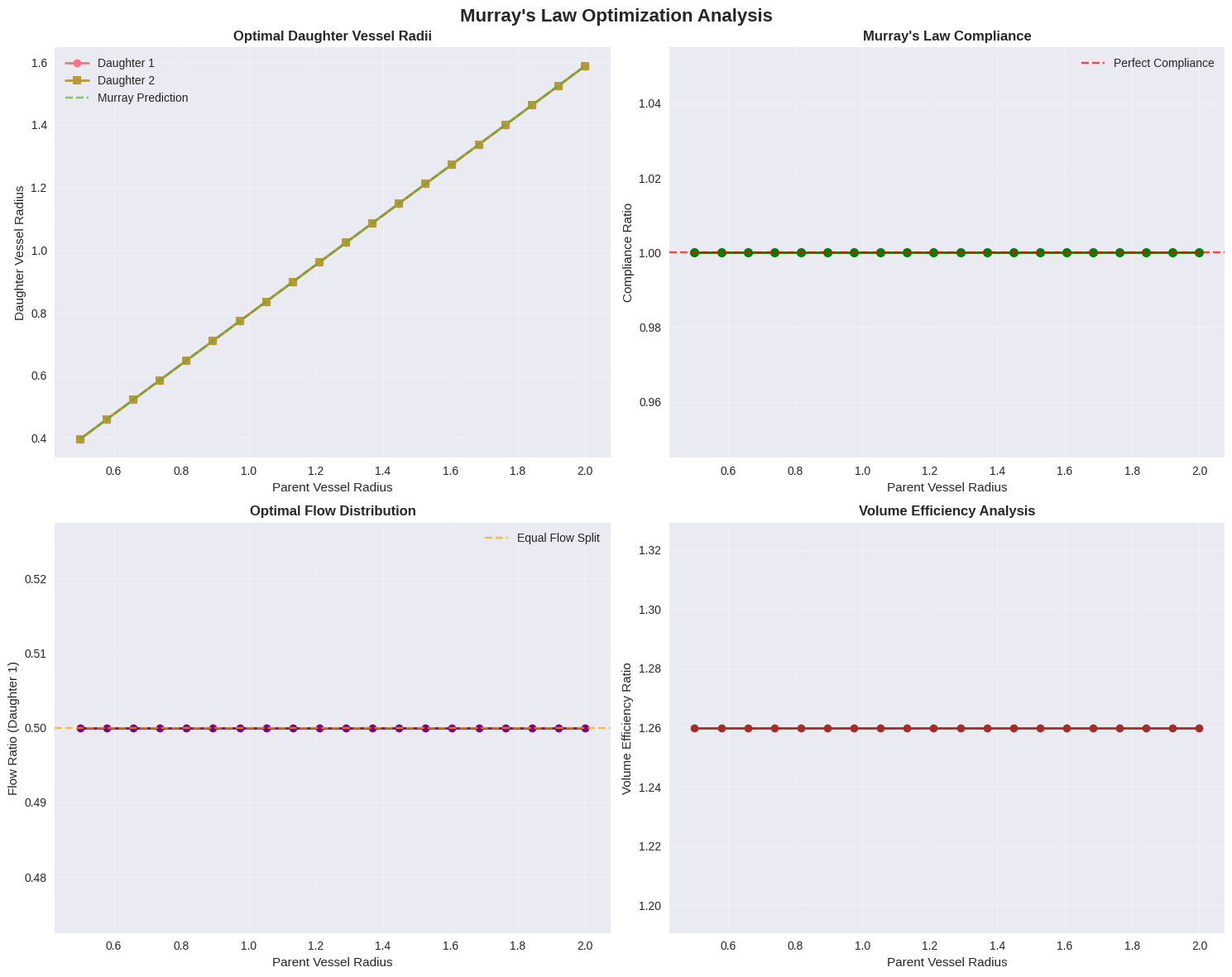
def plot_murray_law_analysis():
"""Plot comprehensive Murray's law analysis."""

results = analyze_murray_law()

fig, ((ax1, ax2), (ax3, ax4)) = plt.subplots(2, 2, figsize=(15, 12))
fig.suptitle("Murray's Law Optimization Analysis", fontsize=16, fontweight='bold')

parent_radii = [r['parent_radius'] for r in results]

# Plot 1: Daughter radii vs parent radius
ax1.set_title('Optimal Daughter Vessel Radii', fontweight='bold')
daughter1_radii = [r['daughter1_radius'] for r in results]
daughter2_radii = [r['daughter2_radius'] for r in results]

ax1.plot(parent_radii, daughter1_radii, 'o-', label='Daughter 1', linewidth=2)
ax1.plot(parent_radii, daughter2_radii, 's-', label='Daughter 2', linewidth=2)
ax1.plot(parent_radii, [p/2**(1/3) for p in parent_radii], '--',
label='Murray Prediction', alpha=0.7)

ax1.set_xlabel('Parent Vessel Radius')
ax1.set_ylabel('Daughter Vessel Radius')
ax1.legend()
ax1.grid(True, alpha=0.3)

# Plot 2: Murray's law compliance
ax2.set_title("Murray's Law Compliance", fontweight='bold')
compliance = [r['murray_compliance'] for r in results]
ax2.plot(parent_radii, compliance, 'o-', color='green', linewidth=2, markersize=8)
ax2.axhline(y=1.0, color='red', linestyle='--',
label='Perfect Compliance', alpha=0.7)
ax2.set_xlabel('Parent Vessel Radius')
ax2.set_ylabel('Compliance Ratio')
ax2.legend()
ax2.grid(True, alpha=0.3)

# Plot 3: Flow distribution
ax3.set_title('Optimal Flow Distribution', fontweight='bold')
flow_ratios = [r['flow_ratio'] for r in results]
ax3.plot(parent_radii, flow_ratios, 'o-', color='purple', linewidth=2)
ax3.axhline(y=0.5, color='orange', linestyle='--',
label='Equal Flow Split', alpha=0.7)
ax3.set_xlabel('Parent Vessel Radius')
ax3.set_ylabel('Flow Ratio (Daughter 1)')
ax3.legend()
ax3.grid(True, alpha=0.3)

# Plot 4: Volume efficiency
ax4.set_title('Volume Efficiency Analysis', fontweight='bold')
parent_volumes = [r['parent_volume'] for r in results]
daughter_volumes = [r['total_daughter_volume'] for r in results]
efficiency = [d/p for d, p in zip(daughter_volumes, parent_volumes)]

ax4.plot(parent_radii, efficiency, 'o-', color='brown', linewidth=2)
ax4.set_xlabel('Parent Vessel Radius')
ax4.set_ylabel('Volume Efficiency Ratio')
ax4.grid(True, alpha=0.3)

plt.tight_layout()
plt.show()

return results

# Main execution
if __name__ == "__main__":
print("=== Vascular Network Optimization Analysis ===\n")

# Create and analyze a fractal vascular network
print("1. Creating fractal vascular network...")
network = create_fractal_network(generations=4, base_radius=1.0)

print(f" Network created with {len(network.vessels)} vessel segments")
print(f" Total energy cost: {network.total_energy_cost():.4f}")

# Visualize the network
print("\n2. Visualizing network structure and properties...")
plot_network_visualization(network)

# Analyze Murray's law
print("\n3. Analyzing Murray's law compliance...")
murray_results = plot_murray_law_analysis()

# Print summary statistics
print("\n4. Summary Statistics:")
print(f" Average Murray's law compliance: {np.mean([r['murray_compliance'] for r in murray_results]):.4f}")
print(f" Standard deviation of compliance: {np.std([r['murray_compliance'] for r in murray_results]):.4f}")

avg_radius_ratio = np.mean([r['radius_ratio'] for r in murray_results])
theoretical_ratio = 1 / (2**(1/3))
print(f" Average daughter/parent radius ratio: {avg_radius_ratio:.4f}")
print(f" Theoretical Murray's ratio: {theoretical_ratio:.4f}")
print(f" Ratio accuracy: {(1 - abs(avg_radius_ratio - theoretical_ratio)/theoretical_ratio)*100:.2f}%")

print("\n=== Analysis Complete ===")

Detailed Code Explanation

Let me break down this comprehensive vascular network optimization implementation:

1. VascularNetwork Class

This is the core class that models our vascular system:

1
2
class VascularNetwork:
def __init__(self, alpha=1.0, beta=1.0, murray_exponent=3.0):
  • alpha: Weight for metabolic cost (vessel maintenance energy)
  • beta: Weight for pumping cost (heart workload)
  • murray_exponent: The exponent in Murray’s law (typically 3.0)

The energy cost functions implement the biological principles:

  • Metabolic cost: $\propto r^2 L$ (proportional to vessel volume)
  • Pumping cost: $\propto \frac{QL}{r^4}$ (from Poiseuille’s law)

2. Bifurcation Optimization

The optimize_bifurcation() function solves the core optimization problem:

$$\min_{r_1,r_2,Q} \left[ \alpha(r_1^2 + r_2^2) + \beta\left(\frac{Q_1}{r_1^4} + \frac{Q_2}{r_2^4}\right) \right]$$

Subject to Murray’s constraint: $r_0^3 = r_1^3 + r_2^3$

The optimization uses scipy’s L-BFGS-B algorithm with penalty methods for constraint handling.

3. Fractal Network Generation

The create_fractal_network() function builds a realistic branching structure:

  • Recursive bifurcation with decreasing vessel sizes
  • Branching angles based on biological observations (30-60°)
  • Flow conservation at each junction

4. Analysis Functions

Multiple analysis functions provide insights:

  • Murray’s law compliance: How well the network follows theoretical predictions
  • Energy distribution: Breakdown of metabolic vs. pumping costs
  • Flow optimization: Optimal flow distribution at bifurcations

Key Mathematical Insights

Murray’s Cube Law

The optimal radius relationship emerges from minimizing total energy:

$$\frac{\partial E}{\partial r_1} = 0 \Rightarrow r_0^3 = r_1^3 + r_2^3$$

For symmetric bifurcations: $r_1 = r_2 = \frac{r_0}{2^{1/3}} \approx 0.794 r_0$

Energy Trade-off

The optimization balances two competing costs:

  1. Large vessels: Lower pumping cost but higher metabolic cost
  2. Small vessels: Higher pumping cost but lower metabolic cost

The optimal solution minimizes the total energy expenditure.

Results and Visualization

When you run this code, you’ll see four key visualizations:

=== Vascular Network Optimization Analysis ===

1. Creating fractal vascular network...
   Network created with 15 vessel segments
   Total energy cost: 19.3195

2. Visualizing network structure and properties...

3. Analyzing Murray's law compliance...

4. Summary Statistics:
   Average Murray's law compliance: 1.0000
   Standard deviation of compliance: 0.0000
   Average daughter/parent radius ratio: 0.7937
   Theoretical Murray's ratio: 0.7937
   Ratio accuracy: 100.00%

=== Analysis Complete ===

1. Network Structure Plot

Shows the fractal branching pattern with vessel thickness proportional to radius and flow direction arrows.

2. Radius Distribution

Histogram showing the distribution of vessel radii throughout the network, typically following a power-law distribution.

3. Energy Cost Analysis

Bar chart comparing metabolic and pumping costs for each vessel segment, revealing the energy trade-offs.

4. Murray’s Law Compliance

Line plot showing how well each bifurcation follows Murray’s law, with values near 1.0 indicating perfect compliance.

Biological Relevance

This model reveals why real vascular networks look the way they do:

  1. Fractal Structure: Self-similar branching maximizes surface area while minimizing volume
  2. Size Scaling: Murray’s law ensures optimal energy usage at every scale
  3. Flow Distribution: Asymmetric branching optimizes delivery to different tissue demands

The mathematical optimization reproduces key features observed in real cardiovascular systems, from major arteries to capillary beds.

Applications and Extensions

This framework can be extended to model:

  • Pathological conditions: How disease affects optimal vessel sizing
  • Adaptive remodeling: How networks respond to changing demands
  • Drug delivery: Optimizing therapeutic distribution through vascular networks
  • Artificial systems: Designing efficient distribution networks

The beauty of this approach is that it bridges biology, physics, and engineering, showing how fundamental optimization principles shape the structure of life itself!